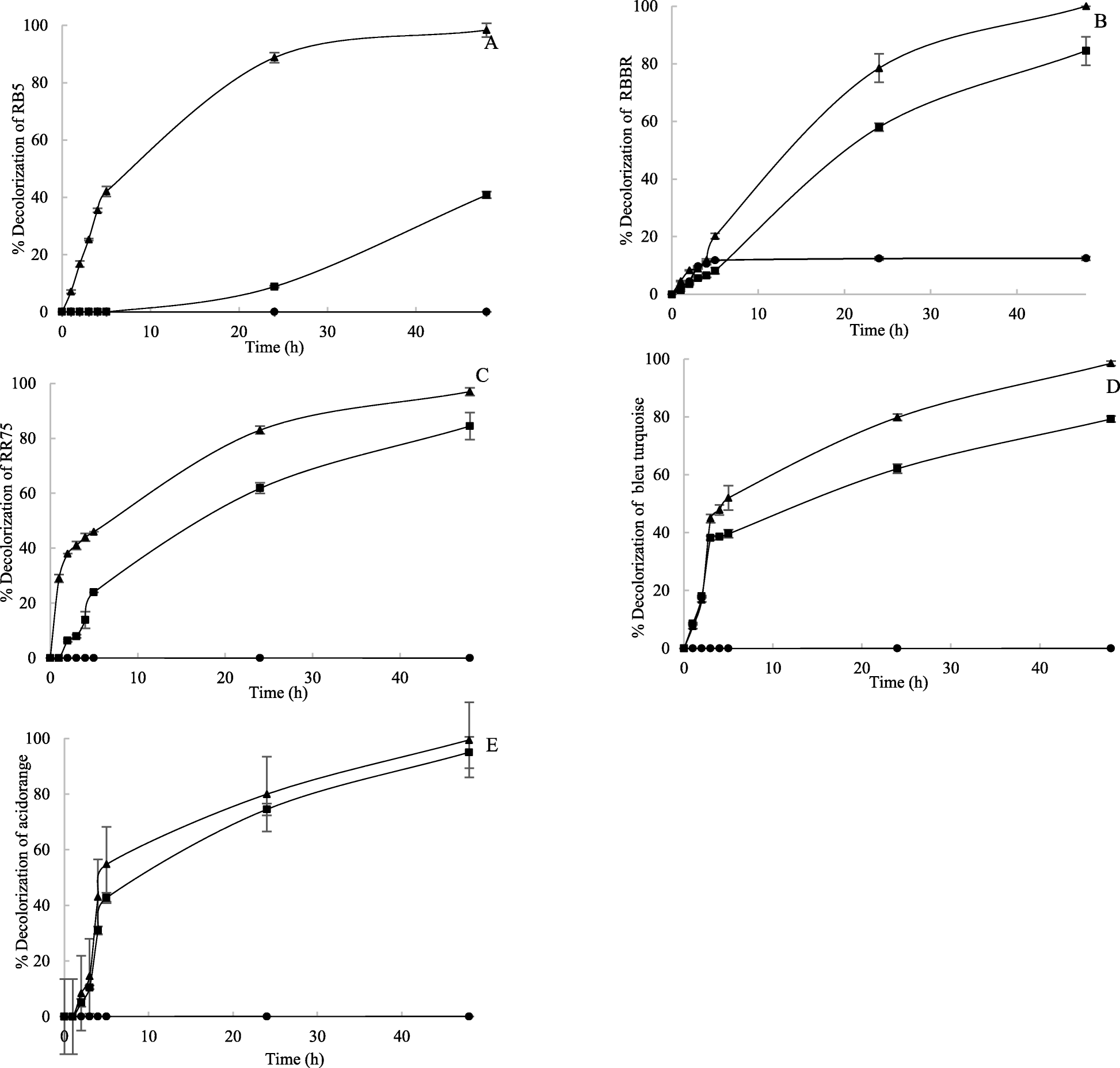
Fig. 7

Decolorization of the five reactive dyes (50 mg L− 1 each), namely industry Reactive Black 5 (RB5) (a), Remazol Brilliant Blue R (RBBR) (b), RR75 (c), Blue Turquoise (d) and Acid Orange (E) in 48 h (% of decolorization in the presence of 1-hydroxybenzotriazole (HBT) (●), % of decolorization in the presence of enzyme (■) and % of decolorization in the presence of enzyme and HBT (▲)). The disappearance of the color by Trichoderma asperellum 1 culture supernatant was monitored at specific wavelengths (585, 597, 520, 438 and 606 nm) with time (1, 2, 3, 4, 5, 24 and 48 h). Each data point (mean +/− standard deviation) is the result of duplicate experiments