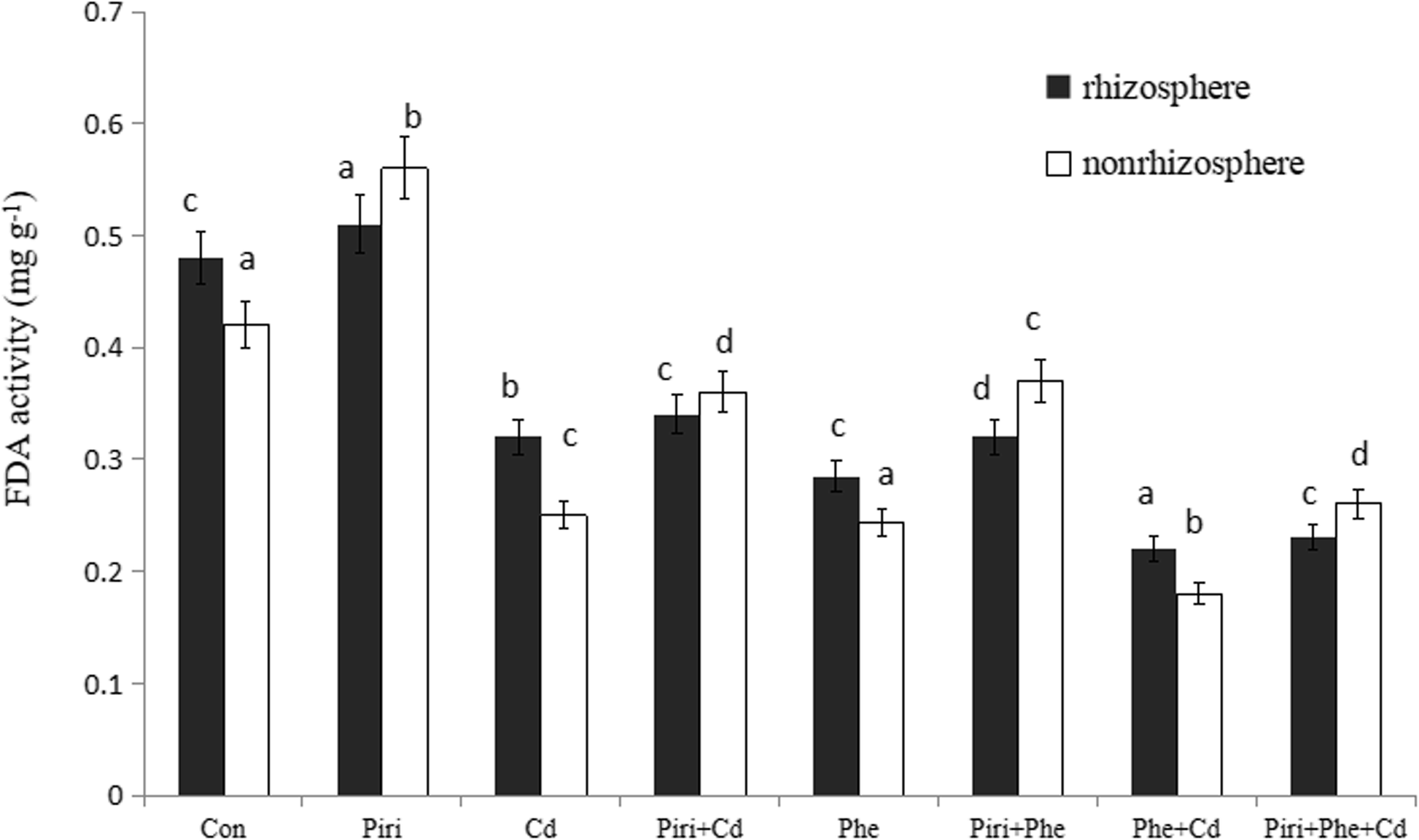
Fig. 4

The FDA activities were identified in the control, Phe/Cd and the combined Phe-Cd contaminated soil with or without P. indica colonization. Control with (Piri) or without (Con) P. indica inoculation; Phe contaminated soil with (Piri+Phe) or without (Phe) P. indica inoculation; Cd contaminated soil with (Piri+Cd) or without (Cd) P. indica inoculation; Phe-Cd co-contaminated soil with (Piri+Cd + Phe) or without (Cd + Phe) P. indica inoculation. M. sativa was planted in all the treatments. Each value of FDA activities is the mean of three replicates. Error bars show standard error. For the control, Cd, Phe and the combined Cd + Phe treatments, FDA activity in the nonrhizosphere was significantly reduced compared with that in the rhizosphere; For the Piri, Piri+Cd, Piri+Phe and Piri+Cd + Phe treatments, FDA activity in nonrhizosphere was significantly increased compared with that in the rhizosphere; for Control and Piri, Cd and Piri+Cd, Phe and Piri+Phe, Phe + Cd and Piri+Phe + Cd, the adding of P. indica spores significantly increases the FDA activity both in the rhizosphere and nonrhizosphere compared with that in the treatment without P. indica inoculation. Different letters a-d in the columns indicate significant difference in FDA activities between treatments according to the Duncan’s Multiple Range Test (P < 0.05)